• Предмет: Алгебра
  • Автор: Аноним
  • Вопрос задан 3 года назад

Помогите пожалуйста
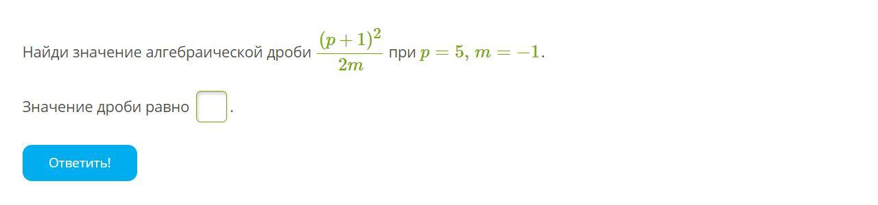
ЗАДАНИЕ В ПРИКРЕПЛЕНОМ ФАЙЛЕ

Приложения:

Ответы

Ответ дал: fghjk6509
0

Ответ:

-18

Объяснение:

((5+1)^2)/(-2)=36/(-2)=-18

Вас заинтересует