SOS СРОЧНО ПЖ ПОМОГИТЕ УМОЛЯЮ!
МОЖЕТЕ ТОЛЬКО ЗАПИСАТЬ 2 И 3 ЕСЛИ ХОТИТЕ НО С ПРАВИЛЬНЫМ ОТВЕТОМ.
Приложения:

Ответы
Ответ дал:
0
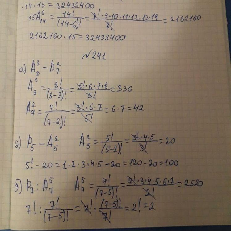
вот ответ на задания
Приложения:

Аноним:
ЭММ......
Вас заинтересует
2 года назад
2 года назад
2 года назад
7 лет назад