Ответы
Ответ дал:
0
1/(a-b):(-1/(a-b)):2/(a-b)=(1/(a-b))*((a+b)/(-1)):(2/(a-b))=((a+b)/(-(a-b)))*((a-b)/2)=(a+b)/(-2)
Ответ дал:
0
надеюсь, я помог своим решением
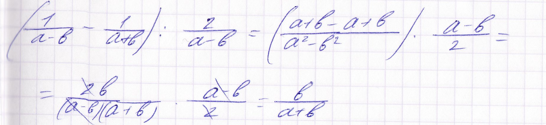
Приложения:

Вас заинтересует
2 года назад
2 года назад
8 лет назад
10 лет назад
10 лет назад