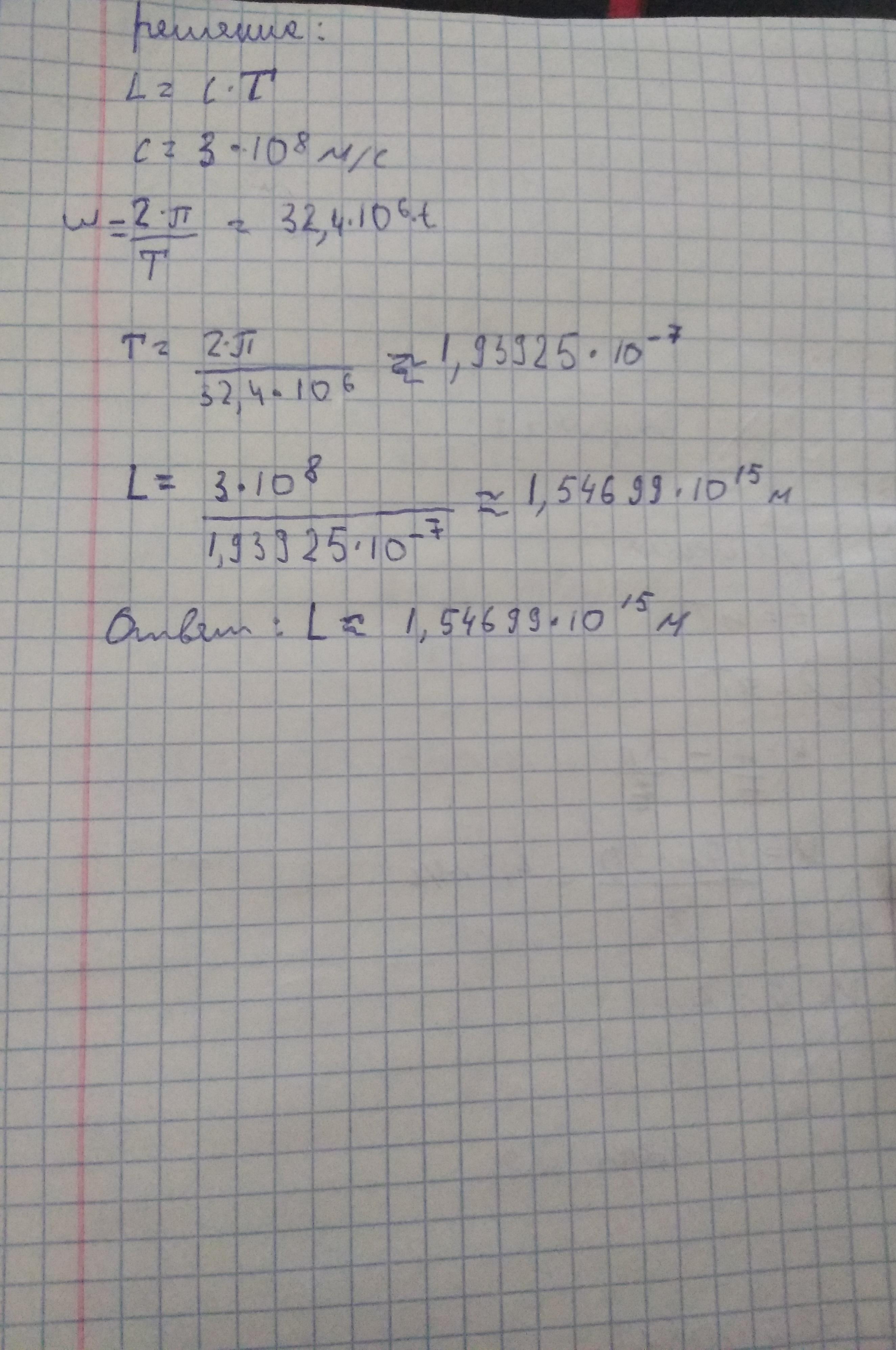
Изменение тока в антенне радиопередатчика происходит по закону
i= 0,3 sin (32,4 ∙ 10^6t). Найдите длину излучаемой электромагнитной волны.
Ответы
Ответ дал:
1
Ответ:
Ответ:
Объяснение:
Приложения:


Вас заинтересует
2 года назад
2 года назад
2 года назад
7 лет назад
7 лет назад
9 лет назад