• Предмет: Математика
  • Автор: FoxOlya123
  • Вопрос задан 3 года назад

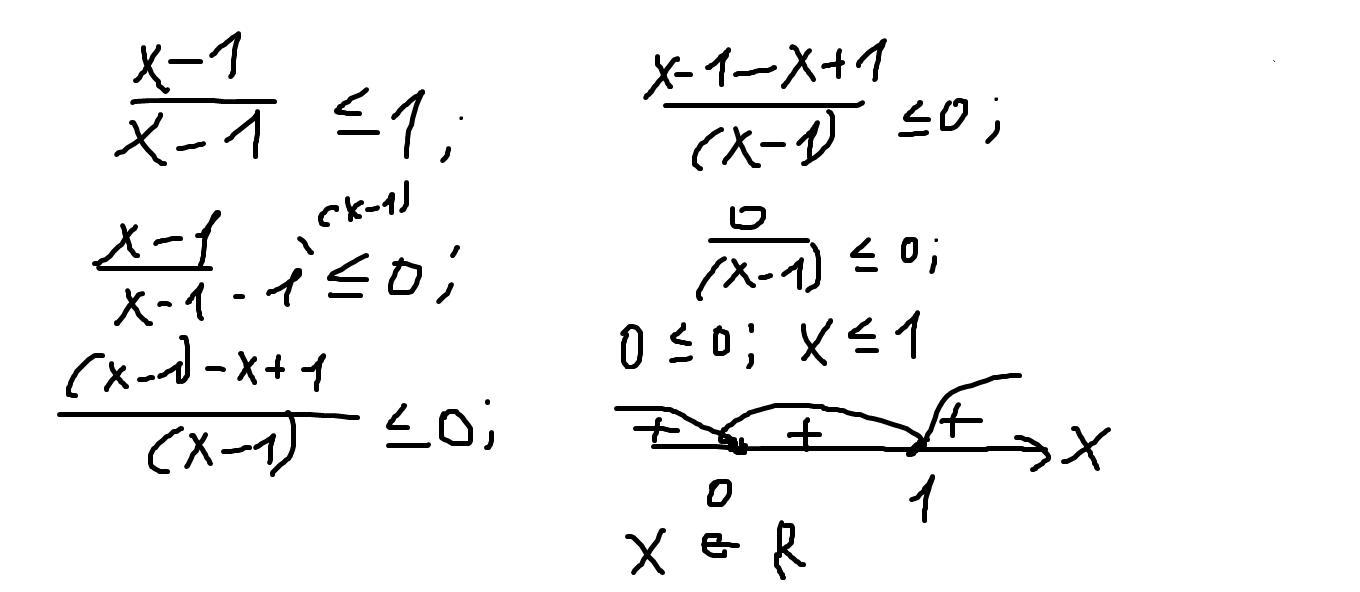
x-1 / x-1 меньше, либо равно 1​

Ответы

Ответ дал: Genum
1

Ответ:

Внизу.

Пошаговое объяснение:

Лучше проверить.

Приложения:
Вас заинтересует