СРОЧНО!!!ПОЖАЛУЙСТА!!!ОТМЕЧУ КАК ЛУЧШИЙ ОТВЕТ!!!КТО БУДЕТ ПИСАТЬ ВСЯКО ФИГНЮ ПОЗНАЕТ СИЛУ ЖАЛОБЫ!!!
Приложения:

Ответы
Ответ дал:
1
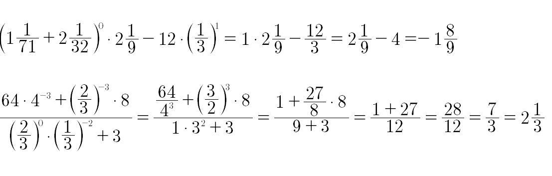
Ответ:
Объяснение:
............................................
Приложения:

Вас заинтересует
2 года назад
2 года назад
2 года назад
7 лет назад
9 лет назад
9 лет назад