• Предмет: Алгебра
  • Автор: vaskindima353
  • Вопрос задан 3 года назад

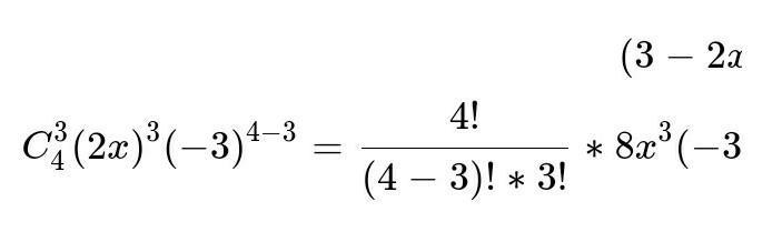
1. Найдите коэффициент при х3 в биномиальном разложении (3-2х)^4
20 балов​

Ответы

Ответ дал: bbbbb56
3

ответ будет -96

решение смотри на фотографии

Приложения:
Вас заинтересует