Ответы
Ответ дал:
0
Ответ:
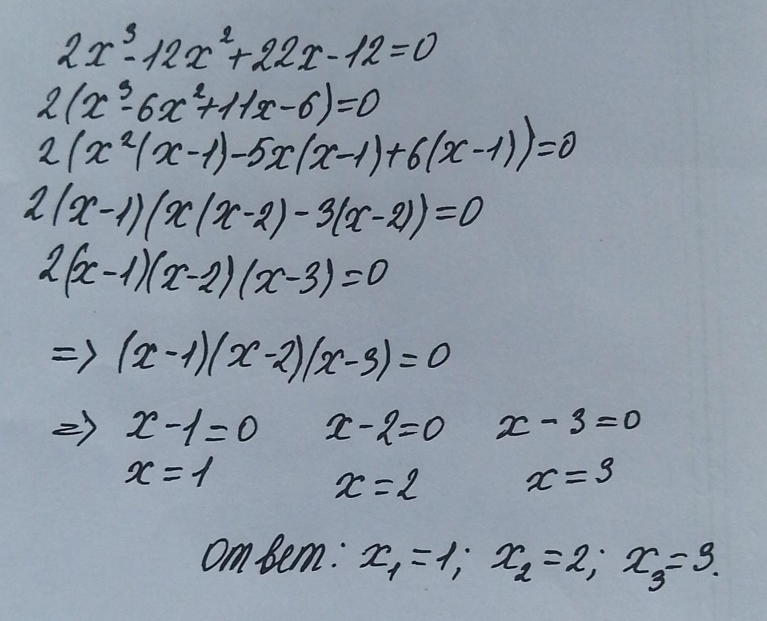
Ответ вот здесь
Пошаговое объяснение:
Надеюсь правильно
Приложения:

Вас заинтересует
2 года назад
2 года назад
2 года назад
2 года назад
7 лет назад
7 лет назад
9 лет назад