• Предмет: Физика
  • Автор: likagadjieva1409
  • Вопрос задан 3 года назад

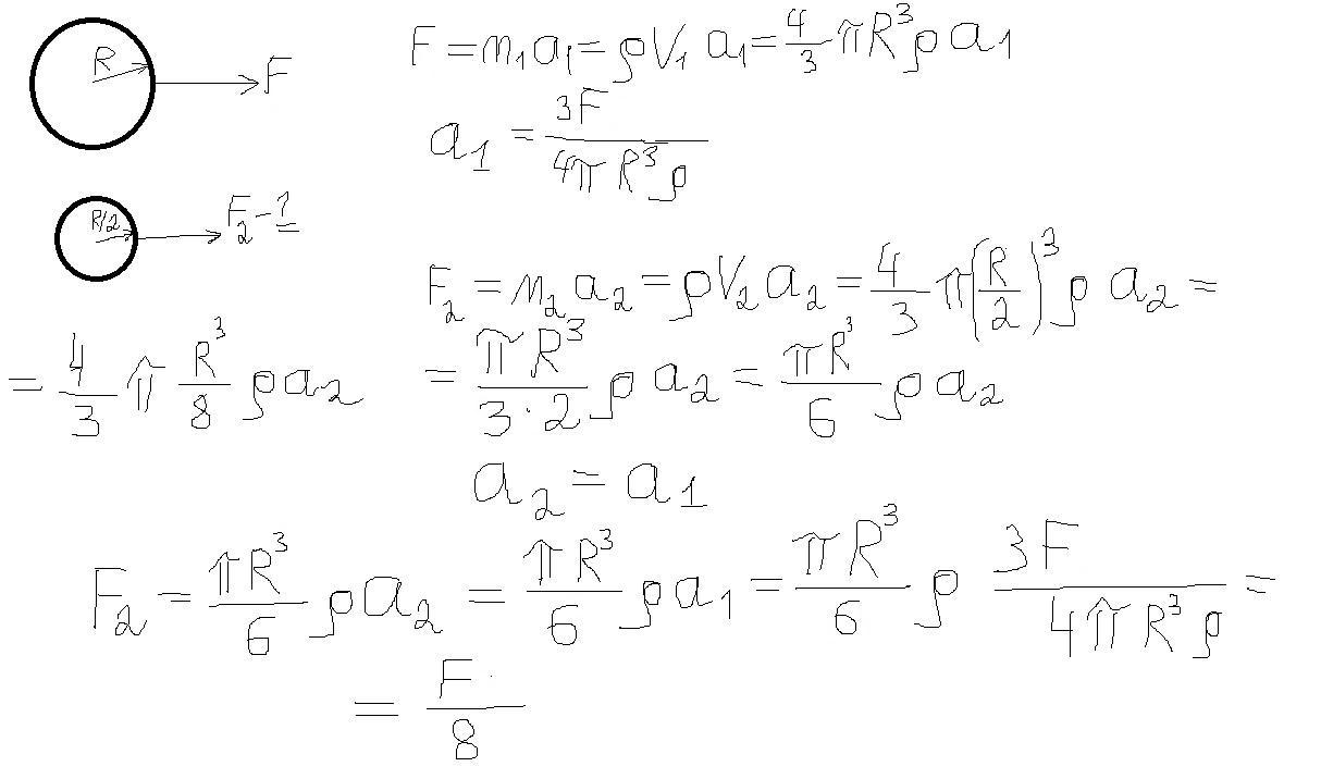
Сила F действующая на стальной шар радиуса R сообщает ему некоторое ускорение.Какая сила сообщит такое же ускорение стальному шару радиуса R/2?

Ответы

Ответ дал: ssroman72
5

Ответ:

Решение  на картинке

Объяснение:

Приложения:
Вас заинтересует