• Предмет: Алгебра
  • Автор: semen28
  • Вопрос задан 3 года назад

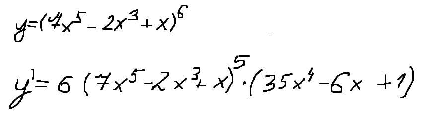
(7x^5-2x^3+x)^6 помогите пожалуйста найти производную

Ответы

Ответ дал: МатематическийМозг
1

Решение в приложение. Сначала берём производную от внешней (степенной) функции, затем домножаем на производную внутренней функции.

Приложения:
Вас заинтересует