• Предмет: Алгебра
  • Автор: spaikee
  • Вопрос задан 3 года назад

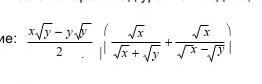
уростите выражение 15 баллов​

Приложения:

Ответы

Ответ дал: igorkrasnopolskyi
1

Відповідь:

x\sqrt{y}

Пояснення:

\frac{x\sqrt{y}-y\sqrt{y}}{2} (\frac{\sqrt{x}}{\sqrt{x}+\sqrt{y}} +\frac{\sqrt{x}}{\sqrt{x}-\sqrt{y}})=\frac{\sqrt{y}(x-y)}{2} \frac{(\sqrt{x}(\sqrt{x}-\sqrt{y})+\sqrt{x}(\sqrt{x}+\sqrt{y}))}{(\sqrt{x}+\sqrt{y})(\sqrt{x}-\sqrt{y})} =\frac{\sqrt{y}(x-y)2x}{2(x-y)} =x\sqrt{y}

Вас заинтересует