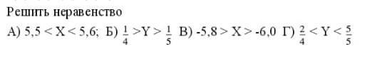
решите неравенство
Приложения:

lidiasaraa3:
вот так и написано задание: решить неравенство?
Ответы
Ответ дал:
0
Ответ:
Сто процент верно!
Сто процент верно!
100%
Приложения:

Вас заинтересует
2 года назад
2 года назад
2 года назад
7 лет назад
7 лет назад
9 лет назад
9 лет назад