• Предмет: Алгебра
  • Автор: kiddp
  • Вопрос задан 3 года назад

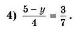
Решите пожалуйста и напишите по действиям​

Приложения:

Ответы

Ответ дал: stukacev910
0

Ответ:

ответ сверху на фото☝☝☝☝

Приложения:
Вас заинтересует