срочно помогите пожалуйста
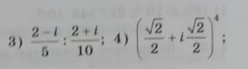
вычислите значение выражений там i а не 1
как делать? я уже устал
Приложения:

Ответы
Ответ дал:
1
Ответ в прикрепленном фото
Приложения:

Вас заинтересует
2 года назад
2 года назад
2 года назад
7 лет назад
7 лет назад