• Предмет: Алгебра
  • Автор: Ivantea555
  • Вопрос задан 3 года назад

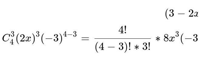
найдите коэффициент при x3 в биномиальном разложении (3 - 2х)4 СРОЧНО!!!!!!!!!!!!!!

Ответы

Ответ дал: bbbbb56
22

ответ:-96

решение смотри на фотографии

Приложения:

indirkaisina73: Ок, а как будет, коэффициент при x3 в биномиальном (4-2х)^4 ? Помоги плиз
tatiana11062005: Найс конечно половины нет
EREMEEEVXXXHOP: НУ БЛЕН НЕ ВИДНО ПОЛОВИНЫ
EREMEEEVXXXHOP: МОЖНО ФУЛЛ
Alaptor: ну так есть ответ при (4-2х)^4???
Alaptor: скажите пжжжж
Вас заинтересует