• Предмет: Алгебра
  • Автор: bolga7016
  • Вопрос задан 3 года назад

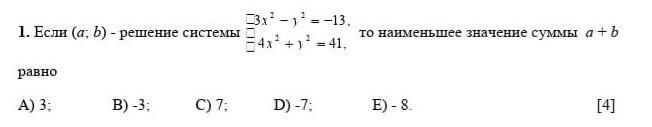
Алгебре 9 класс нужно срочно и если можно то скиньте пожалуйста​

Приложения:

Ответы

Ответ дал: dildamaksatova
1

Ответ: правильный ответ : D) 7

Объяснение:

Приложения:

bolga7016: спасибо большое за помощь!!!)
Вас заинтересует