Ответы
Ответ дал:
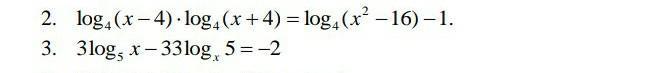
0
Ответ:
решение на фотографии
Приложения:

sadold:
ох, спасибо, но нужен номер 2, а не второй
Вас заинтересует
2 года назад
2 года назад
2 года назад
2 года назад
7 лет назад
7 лет назад
9 лет назад