Помогите пожалуйста с математикой. Решить дифференциальные уравнения первого порядка. Найти частное решение (интеграл), если указаны начальные условия.
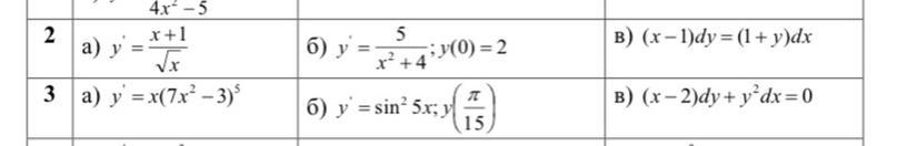
Нужно решить примеры в таблице под номером
2(в) и 3(а,б,в)
Приложения:

mishsvyat:
В 3(б) опечатка: точка указана, а значение функции - нет
Ответы
Ответ дал:
1
Задание 2(в)
Задание 3(а)
Задание 3(б)
Задание 3(в)
Вас заинтересует
2 года назад
2 года назад
2 года назад
7 лет назад
9 лет назад