ПОЖАЛУЙСТА ОЧЕНЬ СРОЧНО! ДАЮ 15 БАЛЛОВ!
ЕСЛИ НЕ ТРУДНО ПРИШЛИТЕ ФОТО)
Приложения:

milayaya1110:
сейчас
Ответы
Ответ дал:
1
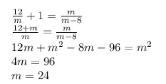
вооооот держит отвеееет
Приложения:

Ответ дал:
1
Ответ:
лови .
надеюсь помогла (☞ ಠ_ಠ)☞
Приложения:

Вас заинтересует
2 года назад
2 года назад
7 лет назад
7 лет назад
9 лет назад