• Предмет: Алгебра
  • Автор: maksimzahar605
  • Вопрос задан 3 года назад

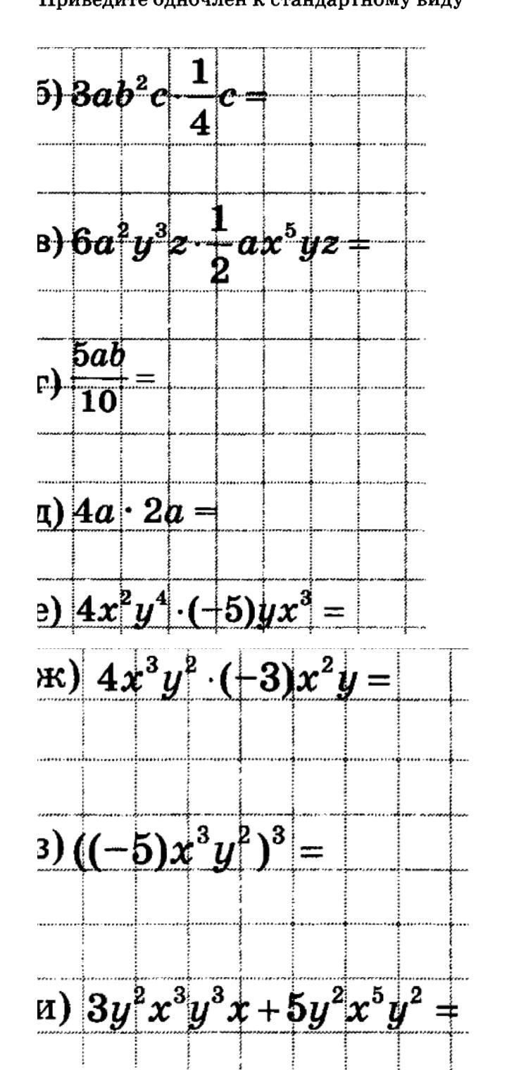
Помогите приведите одночлен в стандартный вид

Приложения:

Ответы

Ответ дал: maksgoncharevich
0

б)0.75ab^2c^2

в)3a^3x^5y^4z^2

г)ab/2

д)8a^2

е)20x^10y^5

ж)-12x^5y^3

з)-125x^9y^6

и)x^4y^4*(3y+5x)


maksgoncharevich: если не правильно сорян
Вас заинтересует