Ответы
Ответ дал:
1
Ответ:
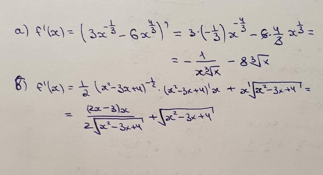
решение на фотографии
Приложения:

ЖЕСТЕСТОП:
там в знаменателе как-то получается 4x^2 -9x+8, в ответы посмотрел в букве в)
Вас заинтересует
2 года назад
2 года назад
2 года назад
2 года назад
7 лет назад
9 лет назад
9 лет назад