Срочно даю 90 балов (пожалуйста)
"на украинском"
Конструкція має форму прямої трикутної призми, сторони основи якої 9 м, 10 м і 17 м. Знайдіть висот ( у метрах) у цієї конструкції, якщо площа її повної поверхні дорівнює 360 м^2 . Надрукуйте тільки число , без одиниць вимірювання
"на русском"
Конструкция имеет форму прямой треугольной призмы, стороны основания которой 9 м, 10 м и 17 м. Найдите высот ( в метрах) в этой конструкции, если площадь ее полной поверхности равна 360 м^2 . Введите только число , без единиц измерения
Ответы
Ответ дал:
1
Ответ: 8.
Объяснение:
Приложения:

Ответ дал:
1
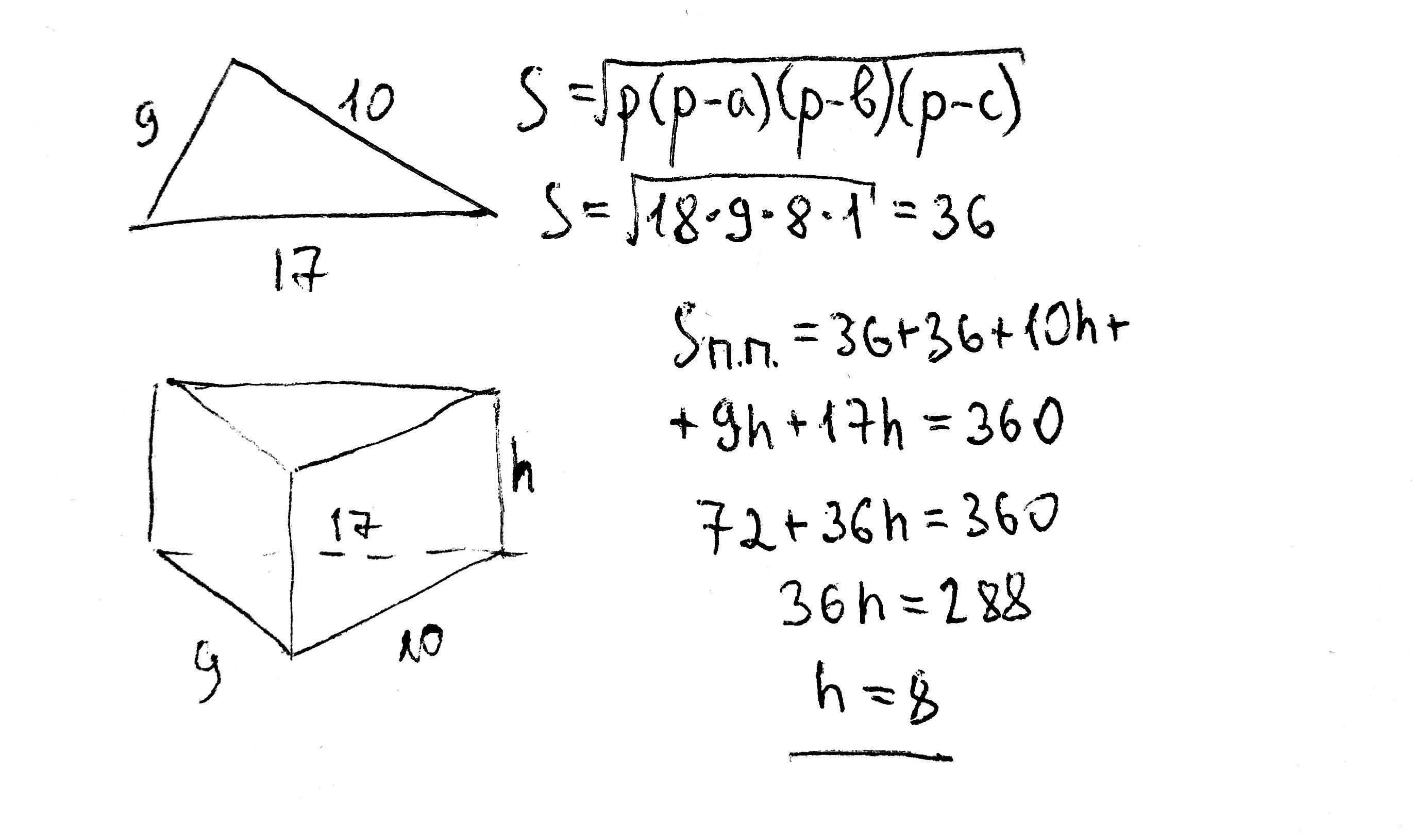
Конструкция имеет форму прямой треугольной призмы, стороны основания которой 9 м, 10 м и 17 м. Найдите высот ( в метрах) в этой конструкции, если площадь ее полной поверхности равна 360 м^2
Объяснение:
Призма прямая, значит боковое ребро является высотой призмы .
S(полное)= 2S(осн)+ S(бок)
S(осн) =S(треуг)= √p (p−a) (p−b) (p−c) , ф. Герона ,
S(бок)=Р*h, h- высота ( в метрах) в этой конструкции.
Р=9+10+17=36 , полупериметр Р/2=р=18 .
р-9=9, р-10=8, р-17=1. Тогда S(треуг)= √(18* 9* 8 *1)=9*4=36, 2S(осн)=72.
360=72+36*h , 360-72=36*h ,h= 8 м
Вас заинтересует
2 года назад
2 года назад
2 года назад
9 лет назад
9 лет назад