• Предмет: Алгебра
  • Автор: kyrgyzbaevagulzinat
  • Вопрос задан 3 года назад

помогите пожайлуста . надо срочно​

Приложения:

Ответы

Ответ дал: ELENA2900
0

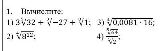
Ответ:

1. 4

2. 8 в3 степени = 512

3. 0.6

4. 2

Объяснение:


kyrgyzbaevagulzinat: как вы так решили покажите подробнее, пожалуйста
Вас заинтересует