• Предмет: Алгебра
  • Автор: nnhelp
  • Вопрос задан 3 года назад

Решите пожалуйста прошу очень срочно

Приложения:

Ответы

Ответ дал: Whatgam
0

Ответ:

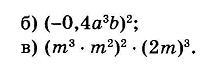
б)0,16 * a^6 * b^2

в)8m^13

Объяснение:

Вас заинтересует