• Предмет: Алгебра
  • Автор: applexit
  • Вопрос задан 3 года назад

Уравнение. Выполните действия:

Приложения:

Ответы

Ответ дал: halever
0
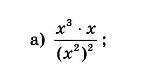
Решение представлено на фото
Приложения:
Вас заинтересует