• Предмет: Алгебра
  • Автор: marinam2734nafna
  • Вопрос задан 3 года назад

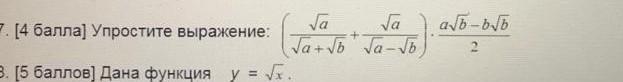
помогите пожалуйста срочнооо​

Приложения:

Ответы

Ответ дал: zhumazhanova0194
1
10000% правильно будет
Приложения:
Вас заинтересует