• Предмет: Алгебра
  • Автор: alua2020
  • Вопрос задан 3 года назад

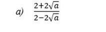
избавиться от иррациональности в знаменателе дроби ​

Приложения:

alua2020: а ну хорошо

Ответы

Ответ дал: leilaibragimova2019
1

сначала выносим общий множитель а потом что бы избавиться от корня в знаменатель всё умножаем на знаменатель

Приложения:

leilaibragimova2019: если помогла отметьте как лучший
alua2020: у меня на странице есть ещё одна задача, можете помочь, задача на эту тему
alua2020: пожалуйста))
leilaibragimova2019: помогла
leilaibragimova2019: можете их обоих отметить как лучший пж
alua2020: хорошо
alua2020: у меня что то нет кнопки отметить как лучший ответ
alua2020: не знаете как исправить?
leilaibragimova2019: нет когда он вам предложат брайнли отметить как лучший тогда отметите хорошо
alua2020: хорошо
Вас заинтересует