• Предмет: Алгебра
  • Автор: zhydyzkarimova
  • Вопрос задан 3 года назад

Плиииз помогите срочно!!!
Контрольная)))
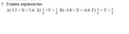
Решите неравенство
А)5,5 <Х<5,6
Б) 1 1
- >Y> -
4 5
В)-5,8>Х>-6,0
Г)2 5
- <Y < -
4 5
пж срочно помогите !!!
Даю 10 баллов)​

Приложения:

Ответы

Ответ дал: lubovnirgcis
0

Ответ:

Спарта это город-государство Древней Греции. Спартанцы уделяли

большое BHHNAHH воспитанию детей, особенно МaЛЬЧИКОВ. Существуют

древнегреческие легенды, которые гласят о том, что слабых мальчиков

младенчестве сбрасывали с высокой скалы.

высокой скалы. Образование мальчиков было

направлено на то, чтобы из подрастающего поколения вырастить мужественных и

ОТВОТНЫХ BOHHOB, поэтому ОЧЕНЬ большое внимание

уделялось военной

подготовке. Обучение мальчиков заключалось в том, что в них развивали в

основном физическую силу. Их забирали у матерей в семилетнем возрасте и

помещали в казармы. Их растили не просто воинами, а чем-то гораздо более

приспособленным к реалиям древнего мира. Не боящимися ни боли, ни смерти ни

чето бы то ни было еще. Слабые не выживали, сильные оставались лучшими

бойцами своего времени. Большое внимание уделялось гимнастике, борьбе и

Владенино оружием. Но не

военному искусству обучали молодых

спартанцев. Жители Спарты очень любили музыку. В свободное время они

развивали свои музыкальные навыки. Их песни были о войне и славных подвигах.

ТОЛЬКО


zhydyzkarimova: Это же не верный ответ)
Вас заинтересует