Ответы
Ответ дал:
1
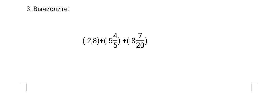
Ответ равно : =-16,95
Приложения:

almagambetoval0:
спс выручил
Вас заинтересует
2 года назад
2 года назад
2 года назад
9 лет назад