• Предмет: Алгебра
  • Автор: almagambetoval0
  • Вопрос задан 3 года назад

помогите пожалуйста нада сейчас сдать быстро пожалуйста нада сейчас сдать быстро​ ну помогите же вы

Приложения:

shushpanov070: какое задание?

Ответы

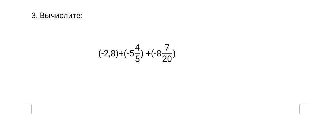
Ответ дал: shushpanov070
1

для начала переведем смешанные дроби в обыкновенные, знак | будем считать дробью:

-5 4|5=-5*5+4|5=-21|5

8 7|20=8*20+7|5=167|20

теперь переведем обыкновенные в десятичные:

-21/5=4,2

167/20=8,35

далее нам нужно сложить.дес дроби:

-2,8+4,2=1,4

1,4+8,35=9,75

Ответ:

(-2,8)+(-5 4|5)+(8 7|20)=9,75=9 3|4


almagambetoval0: спасибо конечно но уже не надо
shushpanov070: ну ладно
Вас заинтересует