СРОЧНО ПОМОГИТЕ!!!ДАЮ КУЧУ БАЛЛОВ
ЗАДАЧА 1
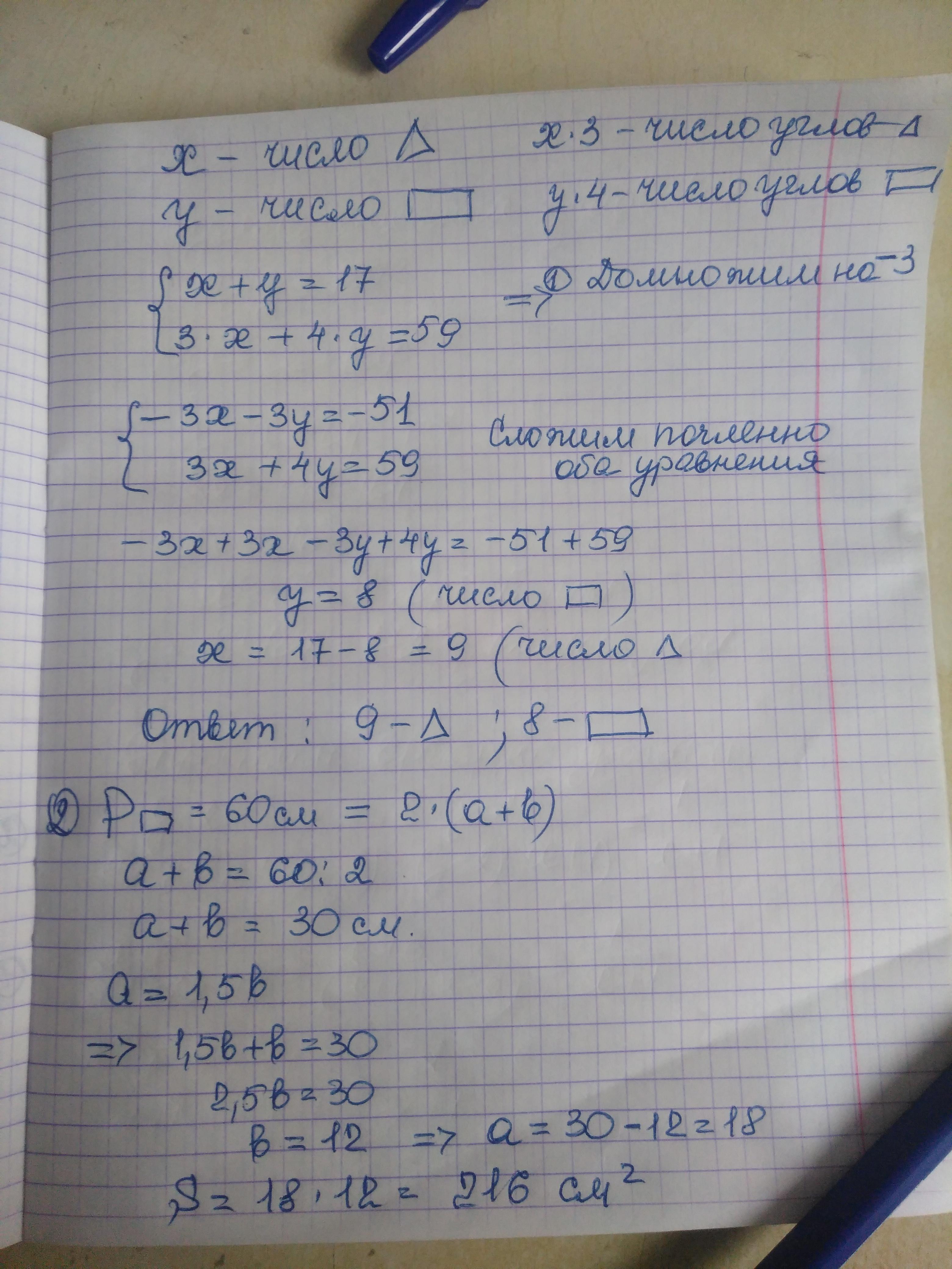
В кабинете математики имеется 17 моделей треугольников и прямоугольников,а число их углов равно 59.Сколько имеется в кабинете математики моделей прямоугольников и треугольников??
ЗАДАЧА 2
Периметр прямоугольника 60 см.Его длина в 1.5 раза больше ширины.Найдити площадь этого прямоугольника
спасибо заранее желаю вам всего наилучшего)))
Аноним:
это какой класс?
Ответы
Ответ дал:
6
Смотри..........................
Приложения:

Вас заинтересует
2 года назад
2 года назад
2 года назад
2 года назад
7 лет назад
7 лет назад
9 лет назад
9 лет назад