• Предмет: Алгебра
  • Автор: PolishaMalisha
  • Вопрос задан 3 года назад

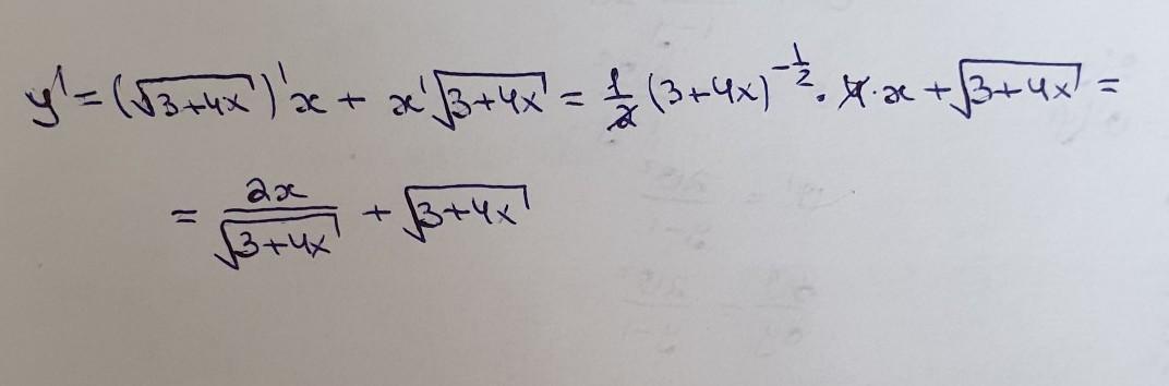
Помогите, пожалуйста, найти производную f(х)=х√(3+4х)

Ответы

Ответ дал: Miroslava227
1

Ответ:

решение на фотографии

Приложения:
Вас заинтересует