• Предмет: Алгебра
  • Автор: Аноним
  • Вопрос задан 3 года назад

вот это вопрос пжу меня просто соч а я не могу зделать​

Приложения:

Ответы

Ответ дал: bakirovmurat
1

Ответ:

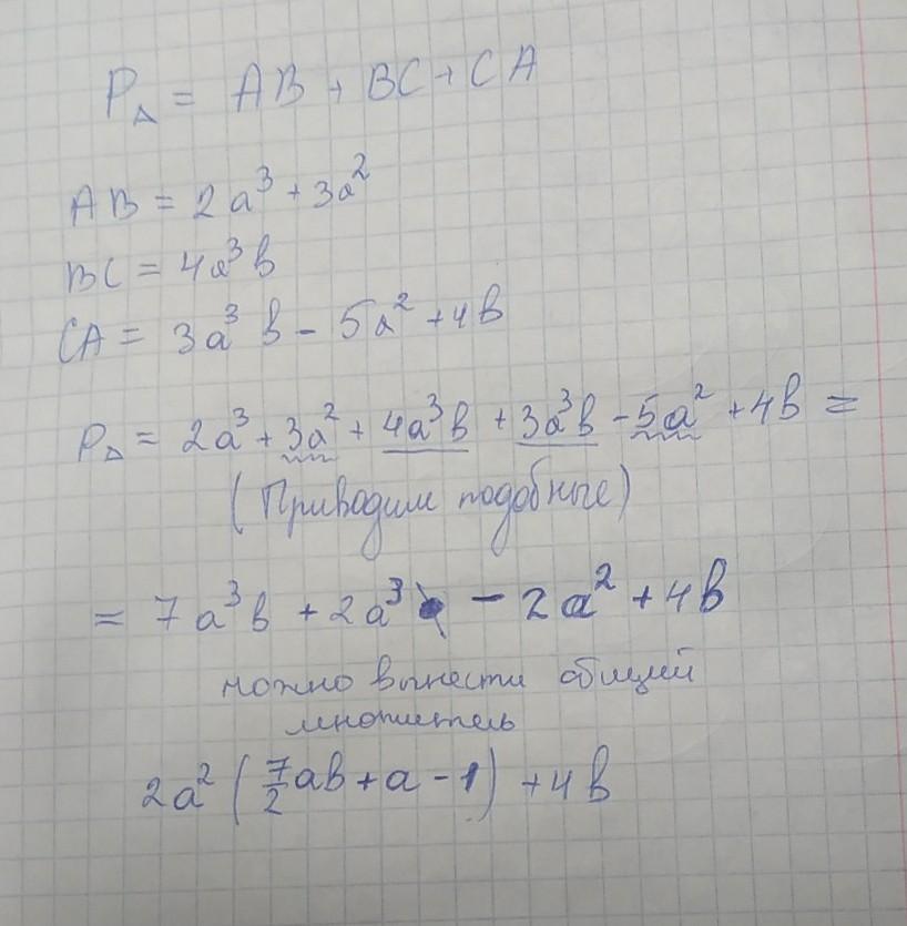
прикреплено фотографие

Приложения:

bakirovmurat: отметь как лучший
Аноним: надо чтоб 2 ктото ответил а так я не смагу
bakirovmurat: ок✊
Аноним: но всеровно спасииибооо
Аноним: стой а это не левое?
Аноним: а да это то
Аноним: спс
Аноним: но там с нету
Аноним: там тока а и б и все
Вас заинтересует