Ответы
Ответ дал:
3
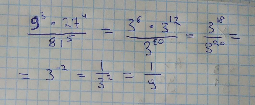
Ответ: 1/9
..........
Приложения:

Вас заинтересует
2 года назад
2 года назад
2 года назад
2 года назад
7 лет назад
7 лет назад
9 лет назад