• Предмет: Алгебра
  • Автор: izeltop543
  • Вопрос задан 3 года назад

ПОМОГИТЕ ДАМ 50 БАЛЛОВ
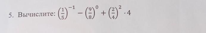
5. Вычислите: (1/5)¹ - (9/8)⁰ + (2/4)² ×4​

Приложения:

Ответы

Ответ дал: Bushueva006
2
ответ: 1/5-1+1 = 1/5

Приложения:
Вас заинтересует