• Предмет: Математика
  • Автор: markusyrs
  • Вопрос задан 3 года назад

Помогите пожалуйста прошу интегралы( только 3 пример и все .

Приложения:

Ответы

Ответ дал: Miroslava227
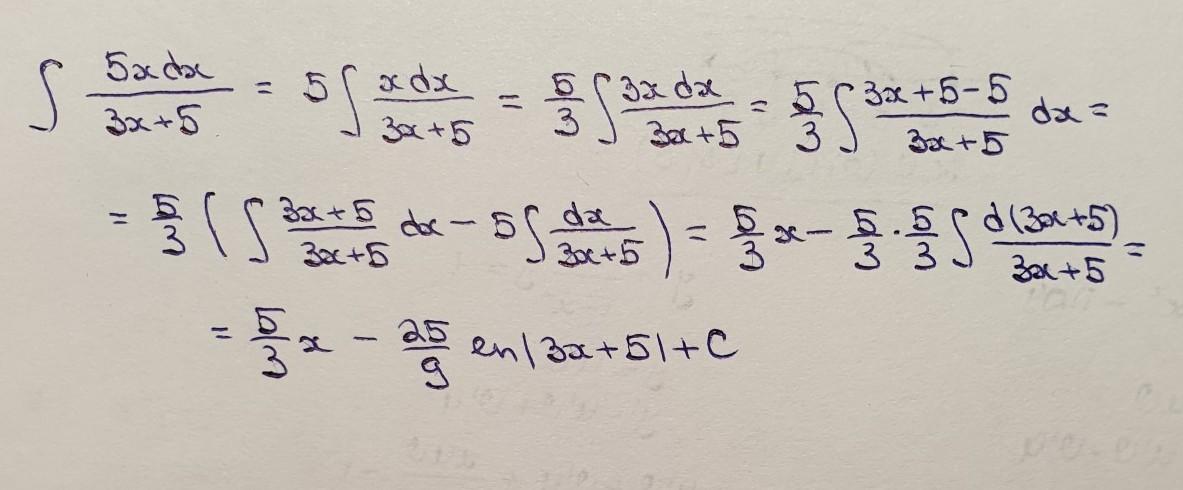
1

Ответ:

решение на фотографии

Приложения:

markusyrs: Спасибо огромное, !!!
Ответ дал: nikebod313
1

3) ~ \displaystyle \int \dfrac{5x}{3x+5}\, dx = \left|\begin{array}{ccc}t = 3x + 5\\x=\dfrac{t-5}{3} \\dx=\dfrac{dt}{3} \end{array}\right| = \int \dfrac{5 \cdot \dfrac{t-5}{3} }{t} \cdot \frac{dt}{3} =\\\\= \int \frac{5t-25}{9t}\, dt = \int \left(\frac{5t}{9t} - \frac{25}{9t}  \right) \, dt = \int \frac{5}{9} \, dt - \frac{25}{9} \int \frac{dt}{t} =\\\\= \frac{5}{9}t - \frac{25}{9}\ln |t| + C =\frac{5}{9}(3x + 5) - \frac{25}{9}\ln |3x + 5| + C =

=\displaystyle \frac{5}{3} x + \underline{\frac{25}{9}} -  \frac{25}{9}\ln |3x + 5| + \underline{C} = \frac{5}{3} x -  \frac{25}{9}\ln |3x + 5| + C

Ответ: \dfrac{5}{3} x -  \dfrac{25}{9}\ln |3x + 5| + C


markusyrs: Спасибо большое
markusyrs: Можете пожалуйста ещё раз помочь, прошу..
Вас заинтересует