• Предмет: Алгебра
  • Автор: Аноним
  • Вопрос задан 3 года назад

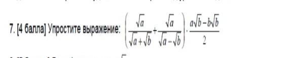
Упростите выражения (✓а)/
✓а+✓б+✓А/✓а-✓б

Приложения:

Ответы

Ответ дал: Whatgam
0

Ответ:

a * корень(b)

Объяснение:

1) в скобках общий множитель a - b,  первую дробь умножаем на корень(a) - корень(b), а вторую на тоже самое только с +, а не с -, получаем:

a - корень(b) + a + корень(b) / a - b

2a / a -b

2) (2a / a -b) * (корень(b) * (a - b) / 2 ), сокращаем, получаем:

a * корень(b)

Вас заинтересует