• Предмет: Информатика
  • Автор: NePashaIneVova
  • Вопрос задан 3 года назад

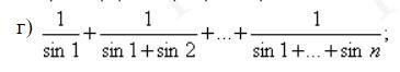
Дано натуральное число n. Вычислить:
Нужно решить в JavaScript

Приложения:

Ответы

Ответ дал: musicwave15
1

let res = 0;

let n = 5;

let temp = 0;

for (var i = 1; i <= n; i++) {

temp = 0;

for (var j = 1; j <= i; j++) {

  temp += Math.sin(j);

 }

res += 1/temp;

}

console.log(res);

Вас заинтересует