• Предмет: Математика
  • Автор: denismakarov16
  • Вопрос задан 3 года назад

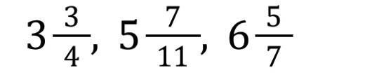
Представьте смешанное число в виде неправильной дроби​

Приложения:

Ответы

Ответ дал: krnl
2

Пошаговое объяснение:

1) 15/4

2) 62/11

3) 47/7

Ответ дал: mig13th
0

Пошаговое объяснение:

Знаменатель остаётся тем же. Целое число × на знаменатель и + на числитель

Приложения:
Вас заинтересует