• Предмет: Алгебра
  • Автор: Аноним
  • Вопрос задан 3 года назад

Помогите пожалуйста ​

Приложения:

Ответы

Ответ дал: d5thff2j95
2

Ответ:

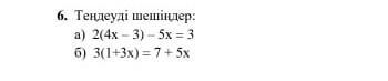
a)2(4x-3)-5x=3

8x-6-5x=3

8x-5x=6+3

3x=9

x=3

Объяснение:

b)3(1+3x)=7+5x

3+9x=7+5x

3-7=-9+5x

-4=-4x

x=1

Вас заинтересует