• Предмет: Алгебра
  • Автор: rufat31
  • Вопрос задан 3 года назад

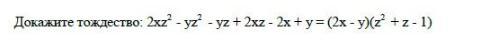
CРОЧНО ПОМОГИТЕ ДАМ ВСЕ 35 БАЛЛОВ КОТОРЫЕ ЕСТЬ

Приложения:

Ответы

Ответ дал: kstnsrg
0

Ответ:

раскладываем правую часть

Объяснение:

=2xz**2+2xz-2x-yz**2-yz+y

все

даже подобные не надо приводить..


rufat31: просто написать расскладываем левую часть?и все?
Вас заинтересует