решите уровнение и сделайте проверку (2х+50)÷12=10
помогитеее пж пж срочно
wwyuliyaww0:
слрян не биология а математека
Ответы
Ответ дал:
1
Ответ:
х=35
Объяснение:
2х+50/12=10
2(х+25)/12=10
х+25/6=10 (10 умножаем на 6= 60 )
х+25=60
х=60-25
х=35
Ответ дал:
1
Ответ:
х=35
.....
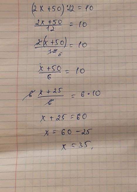
Объяснение:
ответ на рисунке
Приложения:

Вас заинтересует
2 года назад
2 года назад
2 года назад
7 лет назад