О всемогущие мои математики! Помогите пожалуйста, кто сможет. Я буду очень брагодарна и дам 50 балов. Заранее спасибо большое
Приложения:

Ответы
Ответ дал:
1
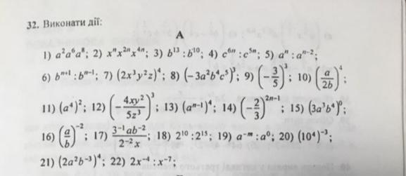
1) a¹⁶
2)x⁷ⁿ
3)b²³
4)cⁿ
5)a²
6)b⁵
7)16x¹²y⁸z⁴
8)-27a⁶b¹²c¹⁵
9)-27/125
10)a⁴/16b⁴
11)a⁸
12)-64x³y⁶/125z⁹
Больше не могу
2)x⁷ⁿ
3)b²³
4)cⁿ
5)a²
6)b⁵
7)16x¹²y⁸z⁴
8)-27a⁶b¹²c¹⁵
9)-27/125
10)a⁴/16b⁴
11)a⁸
12)-64x³y⁶/125z⁹
Больше не могу
Вас заинтересует
2 года назад
2 года назад
2 года назад
7 лет назад