• Предмет: Алгебра
  • Автор: Аноним
  • Вопрос задан 3 года назад

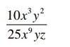
пожалуйста срочно сократить дробь пожалуйста​

Приложения:

Ответы

Ответ дал: DexterLoverboy
2

Ответ:

----------------------------------------------

Приложения:

Аноним: спасибо
Вас заинтересует