• Предмет: Математика
  • Автор: olechka210509
  • Вопрос задан 3 года назад

Помогите пожалуйста!!
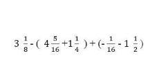
Найдите значение выражения

Приложения:

Ответы

Ответ дал: melissagirls7
1

Ответ:

-4

Пошаговое объяснение:

я думаю это правильно в картинке изображено пошаговая обяснение

Приложения:
Вас заинтересует