• Предмет: Алгебра
  • Автор: egor4646
  • Вопрос задан 3 года назад

Помогите умоляю очень срочно нужно

Приложения:

Ответы

Ответ дал: MatemaT123
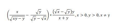
1

Ответ:

\frac{x\sqrt{xy}-xy}{\sqrt{x-1}(x+y)}+\frac{y\sqrt{y}}{x+y}

Объяснение:

\frac{x(\sqrt{y}-\sqrt{x})-\sqrt{y}\sqrt{xy-y}}{\sqrt{xy-y}(\sqrt{y}-\sqrt{x})}*\frac{(\sqrt{x}-\sqrt{y})y}{x+y}=-\frac{(x(\sqrt{y}-\sqrt{x})-\sqrt{y}\sqrt{y}\sqrt{x-1})*(\sqrt{x}-\sqrt{y})y}{\sqrt{xy-y}(\sqrt{x}-\sqrt{y})*(x+y)}=

=-\frac{(x(\sqrt{y}-\sqrt{x})-y\sqrt{x-1})y}{\sqrt{xy-y}*(x+y)}=-\frac{(x(\sqrt{y}-\sqrt{x})-y\sqrt{x-1})(\sqrt{y})^{2}}{\sqrt{y}\sqrt{x-1}*(x+y)}=-\frac{(x(\sqrt{y}-\sqrt{x})-y\sqrt{x-1})\sqrt{y}}{\sqrt{x-1}*(x+y)}=

=-\frac{(x\sqrt{y}-x\sqrt{x}-y\sqrt{x-1})\sqrt{y}}{\sqrt{x-1}*(x+y)}=-\frac{xy-x\sqrt{xy}-y\sqrt{y}\sqrt{x-1}}{\sqrt{x-1}*(x+y)}=\frac{x\sqrt{xy}-xy+y\sqrt{y}\sqrt{x-1}}{\sqrt{x-1}*(x+y)}=

=\frac{x\sqrt{xy}-xy}{\sqrt{x-1}*(x+y)}+\frac{y\sqrt{y}\sqrt{x-1}}{\sqrt{x-1}*(x+y)}=\frac{x\sqrt{xy}-xy}{\sqrt{x-1}(x+y)}+\frac{y\sqrt{y}}{x+y};


egor4646: ой господи мой родненький спасибо тебе
Вас заинтересует