• Предмет: Математика
  • Автор: Аноним
  • Вопрос задан 3 года назад

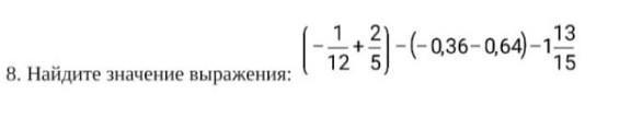
8 найдите значение выражения:
пж помогите​

Приложения:

Ответы

Ответ дал: belkaistrelka009
1

Ответ:

19/60 + 1 - 1 52/60

19/60 - 1 52/60 + 1 = - 1 11/20 +1 = 11 / 20

ответ 11/20


Аноним: спасибо
Вас заинтересует