• Предмет: Математика
  • Автор: Aida12345678910Aida
  • Вопрос задан 3 года назад

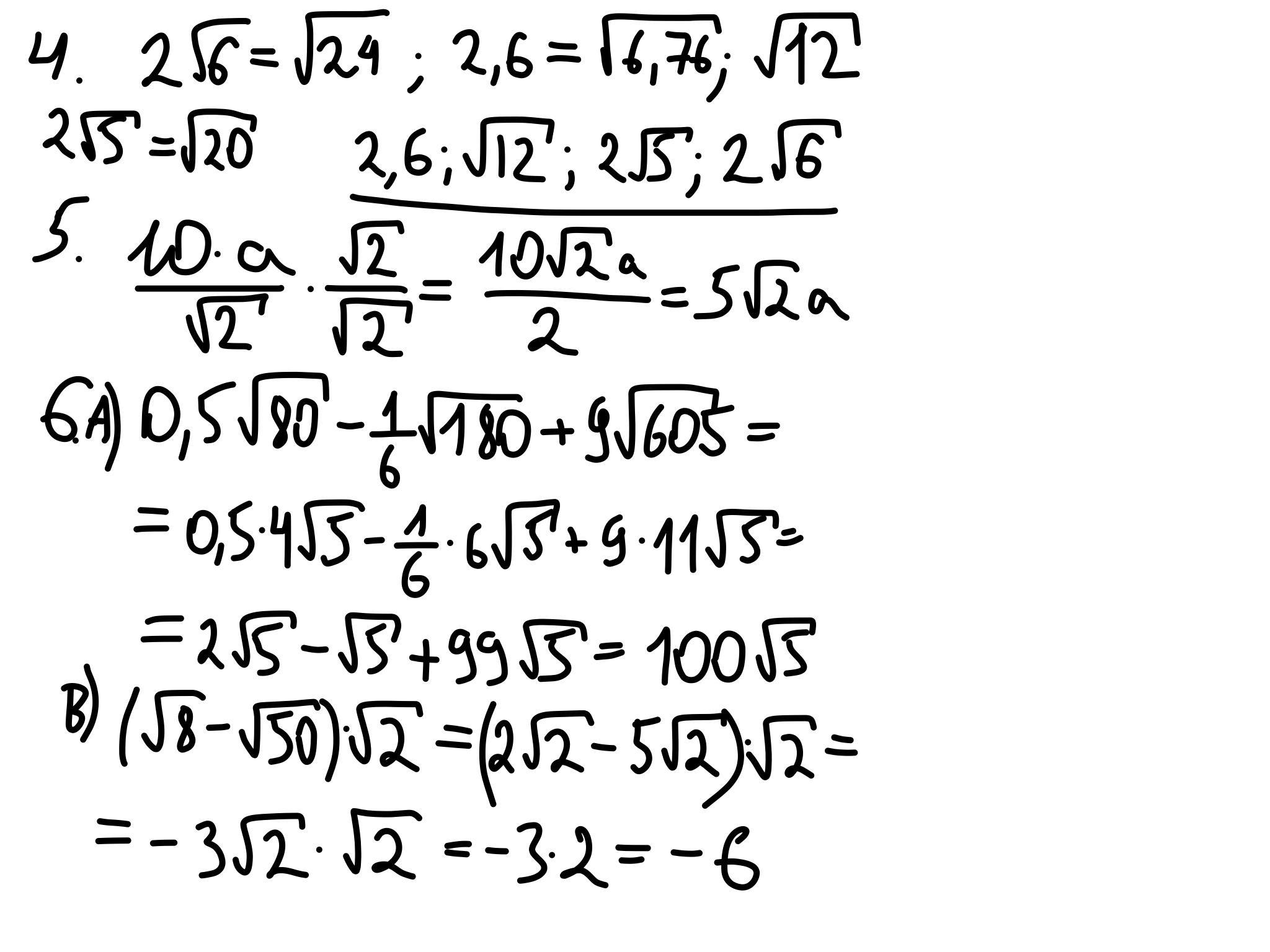
помогите пжж умоляю даю 80 баллов

Приложения:

Ифигения: В пятом задании в числителе 10+а?
Ифигения: Или 10*а?

Ответы

Ответ дал: Ифигения
1

Ответ:

Пошаговое объяснение:

Во вложении

Приложения:
Вас заинтересует