• Предмет: Алгебра
  • Автор: zarabogdan07
  • Вопрос задан 3 года назад

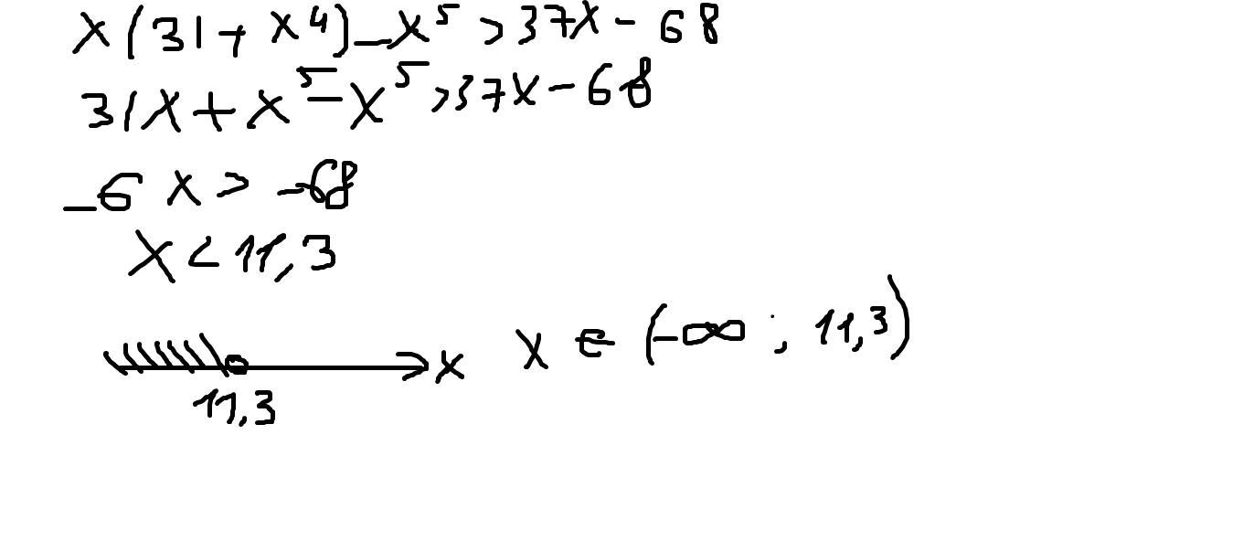
3) x(31 + x^4) - X^5 > 37x - 68;help))))​

Ответы

Ответ дал: Genum
1

Ответ:

Внизу.

Объяснение:

Приложения:

Genum: число при делении странное выходит, не целое
Genum: решал по условию
Вас заинтересует