• Предмет: Алгебра
  • Автор: kataandrej785
  • Вопрос задан 3 года назад

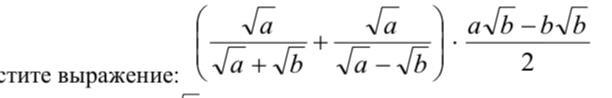
Упростите выражение.срооооочно плиииииз

Приложения:

Ответы

Ответ дал: lera8379
2

Ответ:

1)√а/√а+√б+√а/√а-√б приводим к общему знаменателю (√а-√б)(√а+√б)

Объяснение:

√а(√а-√б)+√а(√а+√б)/√а-√б •√а+√б=

а - √аб + а+√аб/а-б (coкращаем -√аб и +√аб)

2а/а-б

а√б-б√б/2=√б(а-б)/2

√б(а-б)•2а/2•а-б (а-б и 2а и 2 сокращаем )

а√б

вроде так

Вас заинтересует